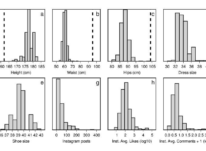
Distribution of body size measures and Instagram activity of new faces of the 2015 S/S season ($N=431$). Dashed lines, where shown, indicate averages computed on the closest matching age group in the US female population.

Style in the Age of Instagram: Predicting Success Within the Fashion Industry Using Social Media

Distribution of body size measures and Instagram activity of new faces of the 2015 S/S season ($N=431$). Dashed lines, where shown, indicate averages computed on the closest matching age group in the US female population.

Style in the Age of Instagram: Predicting Success Within the Fashion Industry Using Social Media

Abstract

Fashion is a multi-billion dollar industry with social and economic implications worldwide. To gain popularity, brands want to be represented by the top popular models. As new faces are selected using stringent (and often criticized) aesthetic criteria, a priori predictions are made difficult by information cascades and other fundamental trend-setting mechanisms. However, the increasing usage of social media within and without the industry may be affecting this traditional system. We therefore seek to understand the ingredients of success of fashion models in the age of Instagram. Combining data from a comprehensive online fashion database and the popular mobile image-sharing platform, we apply a ma- chine learning framework to predict the tenure of a cohort of new faces for the 2015 Spring/Summer season throughout the subsequent 2015-16 Fall / Winter season. Our framework successfully predicts most of the new popular models who appeared in 2015. In particular, we find that a strong social media presence may be more important than being under contract with a top agency, or than the aesthetic standards sought after by the industry.

Publication
Proceedings of the 19th ACM Conference on Computer-Supported Cooperative Work & Social Computing
Date